
Main Points :
- Bitwise predicts that Bitcoin will break away from its traditional four-year cycle and reach new all-time highs in 2026.
- Bitcoin’s price volatility is steadily declining and may become lower than that of popular tech stocks such as NVIDIA.
- The correlation between Bitcoin and equity markets is expected to weaken, strengthening Bitcoin’s role as a distinct portfolio asset.
- Institutional adoption, spot Bitcoin ETFs, and regulatory clarity are reshaping Bitcoin into a mature financial asset.
- These structural changes create new opportunities for investors, businesses, and practical blockchain use cases beyond speculation.
Introduction: Why Bitwise’s 2026 Outlook Matters
In December 2025, Bitwise Asset Management, a leading crypto-focused investment firm, released a preview of what it considers the three most important predictions for 2026. The announcement was made by Matt Hougan, Bitwise’s Chief Investment Officer, as part of a regular investor memo aimed at long-term crypto participants.
While Bitwise plans to publish a broader set of ten predictions for 2026, these three were highlighted as the most consequential for investors seeking to understand where Bitcoin and the broader digital asset market are heading.
What makes these predictions particularly noteworthy is that they challenge some of the most deeply ingrained narratives in Bitcoin investing—especially the idea of a rigid four-year price cycle tied to the halving. Instead, Bitwise argues that Bitcoin is entering a structurally different era, driven by institutional capital, evolving regulation, and reduced speculative leverage.
For readers interested in new crypto assets, alternative revenue streams, and real-world blockchain adoption, these forecasts provide a roadmap for how Bitcoin may function not just as a speculative asset, but as a cornerstone of modern portfolios.
1. Bitcoin Will Break the Four-Year Cycle and Reach New All-Time Highs
The End of the Traditional Bitcoin Cycle
Historically, Bitcoin has been described as following a four-year cycle: roughly three years of rising prices followed by one year of decline. This pattern was closely associated with Bitcoin’s halving events, during which mining rewards are cut in half.
Under this traditional framework, 2026 would be expected to be a down year for Bitcoin prices.
Bitwise, however, argues that this assumption is increasingly outdated.
Matt Hougan points out that the factors that once made the four-year cycle dominant are losing their influence. The halving still matters, but its marginal impact is diminishing as Bitcoin’s market capitalization grows and mining economics become a smaller driver of price compared to capital flows.
Structural Changes Behind the Cycle Breakdown
Several key developments support Bitwise’s view:
1. Reduced Importance of the Halving
As Bitcoin matures, each halving represents a smaller relative shock to supply. In early years, halving events dramatically altered market dynamics. Today, Bitcoin’s liquidity, derivatives markets, and institutional participation dilute that effect.
2. Monetary Policy Is No Longer a Headwind
In previous cycle downturns—most notably in 2018 and 2022—the U.S. Federal Reserve was actively raising interest rates. By contrast, rate cuts began in late 2025, creating a far more supportive macro environment heading into 2026.
3. Declining Leverage in Crypto Markets
Following large-scale liquidations triggered by the “Trump shock” in October 2025, leverage across crypto markets has significantly decreased. Improved regulation and risk controls have reduced the probability of cascading crashes driven by excessive borrowing.
4. Institutional Capital via Spot Bitcoin ETFs
Perhaps the most transformative factor is the launch of U.S. spot Bitcoin ETFs in 2024. These products allow pensions, asset managers, and conservative investors to gain exposure to Bitcoin without dealing with custody or operational complexity.
Bitwise expects institutional inflows to accelerate further in 2026, fundamentally changing demand dynamics.
Bitcoin Price Index and the Breakdown of the 4-Year Cycle (Illustrative)

Implications for Investors
If Bitcoin does indeed reach new all-time highs in 2026, it would mark a profound psychological shift. Bitcoin would no longer be seen as an asset that must crash every four years, but as one capable of sustained growth within a maturing financial system.
For long-term investors and businesses building on Bitcoin infrastructure, this scenario supports strategies focused on accumulation, yield generation, and integration, rather than short-term cycle trading.
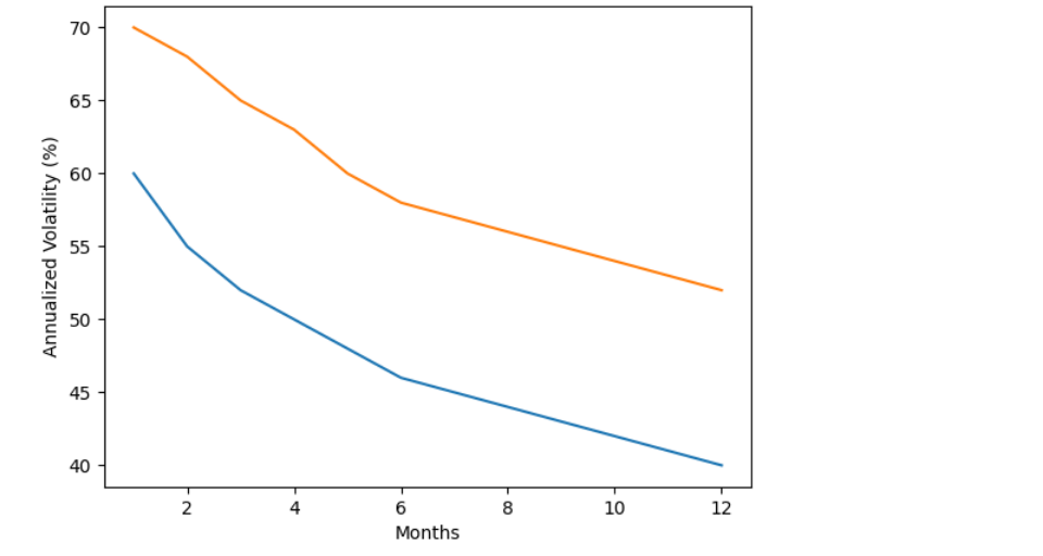
2. Bitcoin’s Volatility Will Fall Below That of NVIDIA Stock
Rethinking Bitcoin as a “Volatile Asset”
Bitcoin is often criticized for its price volatility. While this reputation is not entirely undeserved, Bitwise encourages investors to ask a more nuanced question: volatile compared to what?
To illustrate this point, Hougan compares Bitcoin to one of the most popular stocks among retail and institutional investors—NVIDIA.
Despite being widely held and considered a blue-chip technology leader, NVIDIA’s stock has experienced dramatic price swings, driven by AI hype, earnings surprises, and macroeconomic sentiment.
Data Shows a Surprising Trend
According to Bitwise’s analysis, during 2025, Bitcoin’s price volatility was consistently lower than NVIDIA’s. This finding challenges the narrative that Bitcoin is uniquely unstable.
Moreover, Bitcoin’s volatility has been declining steadily over the past decade. The reasons include:
- The growth of ETF-based exposure
- A broader and more diversified investor base
- Deeper liquidity across global markets
- Improved derivatives and hedging tools
Bitwise expects this trend to continue into 2026.
Volatility Comparison — Bitcoin vs NVIDIA (Illustrative)

Why Lower Volatility Matters
Lower volatility makes Bitcoin more attractive to:
- Institutional investors with strict risk mandates
- Corporate treasuries seeking inflation-resistant assets
- Payment and settlement use cases requiring predictable value
As volatility declines, Bitcoin increasingly resembles a digital macro asset rather than a speculative bet.
3. Bitcoin’s Correlation with Stocks Will Continue to Decline
Moving Beyond the “Risk-On” Narrative
During periods of market stress, Bitcoin has often moved in tandem with equities, reinforcing the perception that it is simply another “risk-on” asset.
Bitwise predicts that this correlation will weaken further in 2026.
The reasoning is straightforward: the drivers of Bitcoin’s value are becoming increasingly distinct from those of traditional stocks.
While equity markets are primarily influenced by earnings, economic growth, and corporate fundamentals, Bitcoin responds to:
- Regulatory clarity
- Institutional adoption
- Network security and decentralization
- Global monetary debasement concerns
Declining Correlation Between Bitcoin and Equities (Illustrative)

As correlation declines, Bitcoin becomes more valuable as a diversification tool. For institutional portfolios, this enhances Bitcoin’s role as a strategic allocation rather than a speculative satellite position.
Bitwise argues that this dynamic will attract new waves of institutional capital in 2026.
Conclusion: Bitcoin’s Transition into a Mature Financial Asset
Bitwise’s three predictions for 2026 collectively paint a picture of Bitcoin at a turning point.
Bitcoin is no longer defined solely by halving cycles, extreme volatility, or speculative hype. Instead, it is evolving into a structurally supported asset, integrated into global financial markets through ETFs, institutional custody, and clearer regulation.
For investors seeking new crypto opportunities, for businesses exploring blockchain’s practical applications, and for institutions rethinking portfolio construction, these trends suggest that Bitcoin’s most important chapter may still lie ahead.


